Sebagai satuan pendidikan yang mengelola dana Bantuan Operasional Satuan Pendidikan (BOSP) dari pemerintah pusat, sekolah didorong untuk selalu mengedepankan transparansi dan akuntabilitas. Pengelolaan dana BOSP meliputi perencanaan dan penganggaran, pelaksanaan, penatausahaan, pelaporan, pertanggungjawaban, dan pengawasan. Keseluruhan kegiatan itu sepenuhnya menjadi tanggung jawab sekolah untuk mendukung kelancaran proses belajar mengajar.
Komponen pembiayaan yang boleh digunakan melalui BOSP Tahun 2025 diatur dalam Peraturan Menteri Pendidikan Dasar dan Menengah Republik Indonesia Nomor 8 Tahun 2025. Ketentuan itu dilakukan agar sekolah dapat memanfaatkan Dana BOSP sepenuhnya demi peningkatan kualitas proses pembelajaran di sekolah. Dalam peraturan tersebut juga tertuang kewajiban sekolah untuk mengelola dana secara profesional dengan menerapkan prinsip efisien, efektif, akuntabel, dan transparan.
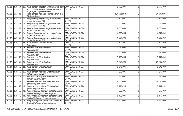
Demi terwujudnya transparansi dan akuntabilitas pengelolaan Dana BOSP Tahun 2025 di SMK Negeri 1 ROTA Bayat, berikut disajikan data dokumen perencanaan berupa Rencana Kegiatan dan Anggaran Sekolah (RKAS) dan Rekapitulasi Realisasi Penggunaan Dana BSOP Reguler Tahap II Tahun Anggaran 2025 yang bersumber dari Aplikasi ARKAS.











